ЗАНЯТИЯ10-й классСева (Наталья) '25 [34]

ВЕБИНАРЫ [41]ТРОЙКИ [24]ПАРЫ [282]ВПЛ [14]
Университет [20]Колледж [103]11-й класс [1258]10-й класс [952]
9-й класс [1082]8-й класс [759]7-й класс [387]6-й класс [298]
5-й класс [247]4-й класс [54]3-й класс [25]2-й класс [5]
1-й класс [0]
Юля (Лилия) '25 [58] Макс (Елена) '25 [56]
Алёна (Илона) '25 [63] Афина (Наталья) '25 [61]
Петя (Анна) '25 [58] Даня (Виктория) '24 [24]
Маша (Екатерина) '24 [25] Макс (Виктория) '24 [46]
Олег (Андрей) '23 [6] Костя (Ольга) '23 [26]
Даша (Мария) '23 [10] Егор (Александра) '23 [12]
Надя (Елена) '23 [30] Тёма (Анна) '22 [22]
Ника (Мария) '22 [9] Варя (Светлана) '22 [10]
Паша (Светлана) '21 [14] Миша (Татьяна) '21 [0]
Ира (Анжела) '20 [0] Северьян (Алла) '20 [50]
Ксюша (Вера) '20 [0] Вова (Анна) '20 [16]
Пётр (*Вова) '20 [5] Настя (Елена) '19 [59]
Амир (Макка) '19 [36] Костя (Ирина) '19 [35]
Рома (Елена) '19 [16] Лиза (Лариса) '19 [28]
Арина (Наталья) '19 [11] Катя (Юлия) '18 [2]
Женя (Наталья) '18 [5] Артур (Алла) '18 [8]
Соня (Елена) '18 [4] Даня (Оксана) '18 [24]
Нелли (Вячеслав) '18 [35] Артём (Ануш) '17 [9]
Саша (Виктория) '17 [11] Миша (Наталья) '17 [7]
Миша (Ирина) '17 [0] Сева (Наталья) '25 [34]
Костя (Наталья) '25 [27]

ГЕНЕРАТОР заданий Живая Тетрадь Расписание занятий Список тем для изучения Прямой эфир из класса Сборники заданий ЕГЭ/ОГЭ

Информация

М Предоплата ЕГЭ 81Б
    ПН 04.05.2026 Сева 10-й класс
      4+ 5- расстояние
    №1 №2 №3

    Остаток: МАЯ. 2026 & 1

    Выполнена часть ДЗ!


    [РЕЗУЛЬТАТ] ЕГЭ 81 бал.

    Справочные пособия: Ф1

    Записи: 1 2 3 4 5 6 7 ...

    Домашнее задание: РАЗ ДВА ТРИ В конце теста скопировать ССЫЛКУ и прислать вместе с фотографиями решений в TeleGram минимум за час до занятия!


     Кликни для просмотра...
    7 шт.
    ССЫЛКА
    №1 №2 №3

    М Предоплата ЕГЭ 81Б
      ПН 27.04.2026 Сева (Н) 10-й класс
        4- 5- парабола
      №1 №2 №3

      Остаток: МАЯ. 2026 & 1

      [РЕЗУЛЬТАТ] ЕГЭ 81 бал.

      Справочные пособия: Ф1

      Картинки: 1 2 3 4 5 ...

      ДЗ: РАЗ ДВА ТРИ В конце теста скопировать ССЫЛКУ и прислать вместе с фотографиями решений в TeleGram минимум за час до занятия!
      Чем больше, тем лучше!


      Внесена предоплата за последующие занятия!


       Кликни для просмотра...
      5 шт.
      ССЫЛКА
      №1 №2 №3

      2 Предоплата ЕГЭ 81Б
        ПН 20.04.2026 Сева 10-й класс
          5- 4+ преобразование
        №1 №2 №3

        Остаток: 2 часа

        Нет решения к ДЗ!


        [РЕЗУЛЬТАТ] ЕГЭ 81 бал.

        Справочные пособия: Ф1 Ф2 Ф3

        Картинки: 1 2 3 4 5 ...

        Домашнее задание: РАЗ ДВА ТРИ В конце теста скопировать ССЫЛКУ и прислать вместе с фотографиями решений в TeleGram минимум за час до занятия!


         Кликни для просмотра...
        5 шт.
        ССЫЛКА
        №1 №2 №3

        М Предоплата ЕГЭ 81Б
          ПН 13.04.2026 Сева 120 минут
            4+ 2 впр
          №1 №2 №3

          Остаток: АПР. 2026 & 1

          Не выполнено ДЗ!


          [РЕЗУЛЬТАТ] ЕГЭ 81 бал.

          Справочные пособия: Ф1 Ф2 Ф3

          Записи: 1 2 3 4 5 6 7 ещё

          Домашнее задание: РАЗ ДВА ТРИ В конце теста скопировать ССЫЛКУ и прислать вместе с фотографиями решений в TeleGram минимум за час до занятия!


           Кликни для просмотра...
          9 шт.
          ССЫЛКА
          №1 №2 №3

          ПН 06.04.2026 Сева 90 минут
            5- 5 прогрессия
          №1 №2 №3

          Остаток: АПР. 2026 & 2

          [РЕЗУЛЬТАТ] ЕГЭ 82 бал.

          Справочные пособия: Ф1

          Записи: 1 2 3 4 5 6 7 ...

          Домашнее задание: ТЕСТ В конце теста скопировать ССЫЛКУ и прислать вместе с фотографиями решений в TeleGram минимум за час до занятия!


          Внесена предоплата за последующие занятия! Бронь на 2026/2027 учебный год!


           Кликни для просмотра...
          7 шт.
          ССЫЛКА
          №1 №2 №3

          М Предоплата ЕГЭ 81Б
            ПН 16.03.2026 Сева (Н) 10-й класс
              5- 5+ без-таблиц
            №1 №2 №3

            Остаток: АПР. 2026 & 3

            [РЕЗУЛЬТАТ] ЕГЭ 81 бал.

            Справочные пособия: Ф1

            Картинки: 1 2 3 ...

            Домашнее задание: ТЕСТ В конце теста скопировать ССЫЛКУ и прислать вместе с фотографиями решений в TeleGram минимум за час до занятия!


            Внесена предоплата за последующие занятия!


             Кликни для просмотра...
            3 шт.
            ССЫЛКА
            №1 №2 №3

            М Предоплата ЕГЭ 80Б
              ПН 09.03.2026 Сева (Н) 10-й класс
                5- 5- таблица
              №1 №2

              Остаток: МАР. 2026 & 1

              [РЕЗУЛЬТАТ] ЕГЭ 80 бал.

              Справочные пособия: Ф1 Ф2

              Записи: 1 2 3 4 5 6 ...

              Домашнее задание: ТЕСТ В конце теста скопировать ССЫЛКУ и прислать вместе с фотографиями решений в TeleGram минимум за час до занятия!


               Кликни для просмотра...
              6 шт.
              ССЫЛКА
              №1 №2

              М Предоплата ЕГЭ 78Б
                ПН 02.03.2026 Сева (Н) 10-й класс
                  5- 5- вклады
                №1 №2 №3

                Остаток: МАР. 2026 & 1

                [РЕЗУЛЬТАТ] ЕГЭ 78 бал.

                Записи: 1 2 3 4 5 6 ...

                Домашнее задание: РАЗ ДВА В конце теста скопировать ССЫЛКУ и прислать вместе с фотографиями решений в TeleGram минимум за час до занятия!


                 Кликни для просмотра...
                6 шт.
                ССЫЛКА
                №1 №2 №3

                М Предоплата ЕГЭ 78Б
                  ПН 23.02.2026 Сева (Н) 10-й класс
                    5- 5+ неравенства
                  №1 №2 №3

                  Остаток: МАР. 2026 & 1

                  Бесплатное занятие!


                  [РЕЗУЛЬТАТ] ЕГЭ 78 бал.

                  Картинки: 1 2 3 ...

                  Домашнее задание: ТЕСТ В конце теста скопировать ССЫЛКУ и прислать вместе с фотографиями решений в TeleGram минимум за час до занятия!


                  Внесена предоплата за последующие занятия!


                   Кликни для просмотра...
                  3 шт.
                  ССЫЛКА
                  №1 №2 №3

                  М Предоплата ЕГЭ 78Б
                    ПН 16.02.2026 Сева (Н) 10-й класс
                      5 5- лог+одз
                    №1 №2 №3

                    [РЕЗУЛЬТАТ] ЕГЭ 78 бал.

                    Справочные пособия: Ф1 Ф2

                    Картинки: 1 2 3 4 5 ...

                    ДЗ: ТЕСТ В конце теста скопировать ССЫЛКУ и прислать вместе с фотографиями решений в TeleGram минимум за час до занятия!
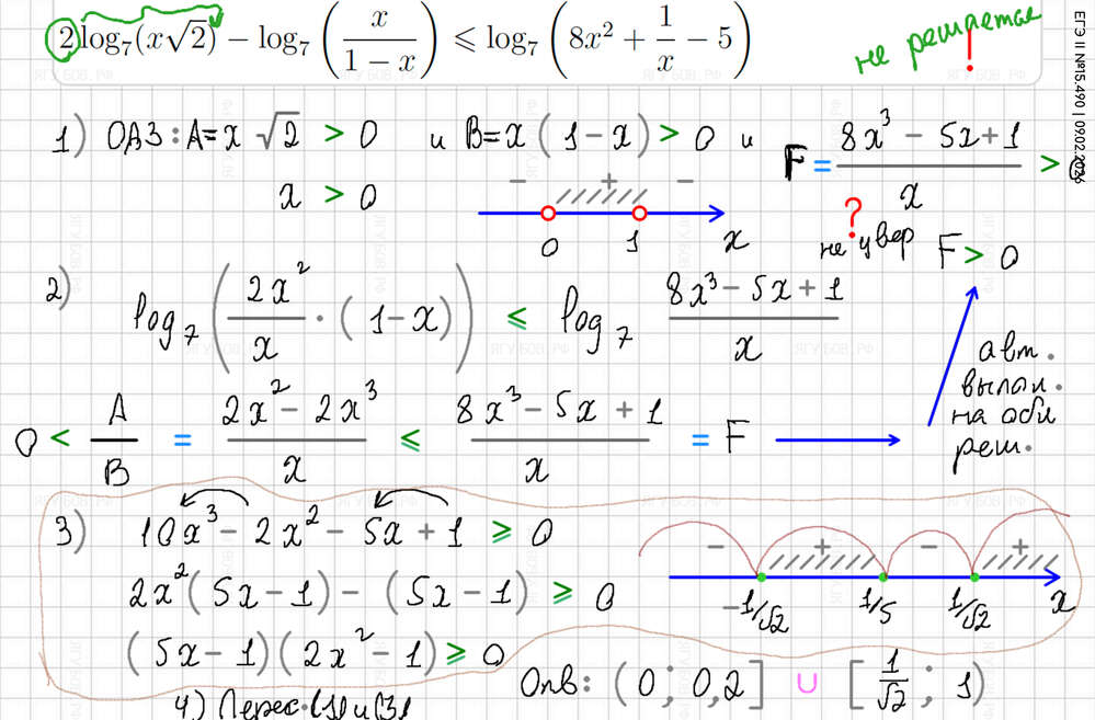
                    Если основание меньше единицы, то меняем знак неравенства!


                    Ищем итоговое ОДЗ, потом решаем и передаем с ним! Часто x>0 в логарифмах!


                     Кликни для просмотра...
                    5 шт.
                    ССЫЛКА
                    №1 №2 №3

                    1 2 3 4 »

                    Внимание! Идет СБОР ОТЗЫВОВ от учеников!

                    Свои бланки можно прислать на почту Roman@Yagubov.ru

                    Хотите остаться неизвестным? — пишите сюда

                    Хотите получить 500 рублей? — читайте тут

                    Навигация

                    ОТ ЮЛИ