ЗАНЯТИЯ10-й классКостя (Наталья) '25 [25]

ВЕБИНАРЫ [41]ТРОЙКИ [24]ПАРЫ [279]ВПЛ [14]
Университет [20]Колледж [103]11-й класс [1245]10-й класс [923]
9-й класс [1065]8-й класс [755]7-й класс [387]6-й класс [298]
5-й класс [247]4-й класс [54]3-й класс [25]2-й класс [5]
1-й класс [0]
Юля (Лилия) '25 [55] Макс (Елена) '25 [50]
Алёна (Илона) '25 [57] Афина (Наталья) '25 [56]
Петя (Анна) '25 [54] Даня (Виктория) '24 [24]
Маша (Екатерина) '24 [25] Макс (Виктория) '24 [46]
Олег (Андрей) '23 [6] Костя (Ольга) '23 [26]
Даша (Мария) '23 [10] Егор (Александра) '23 [12]
Надя (Елена) '23 [30] Тёма (Анна) '22 [22]
Ника (Мария) '22 [9] Варя (Светлана) '22 [10]
Паша (Светлана) '21 [14] Миша (Татьяна) '21 [0]
Ира (Анжела) '20 [0] Северьян (Алла) '20 [50]
Ксюша (Вера) '20 [0] Вова (Анна) '20 [16]
Пётр (*Вова) '20 [5] Настя (Елена) '19 [59]
Амир (Макка) '19 [36] Костя (Ирина) '19 [35]
Рома (Елена) '19 [16] Лиза (Лариса) '19 [28]
Арина (Наталья) '19 [11] Катя (Юлия) '18 [2]
Женя (Наталья) '18 [5] Артур (Алла) '18 [8]
Соня (Елена) '18 [4] Даня (Оксана) '18 [24]
Нелли (Вячеслав) '18 [35] Артём (Ануш) '17 [9]
Саша (Виктория) '17 [11] Миша (Наталья) '17 [7]
Миша (Ирина) '17 [0] Сева (Наталья) '25 [31]
Костя (Наталья) '25 [25]

ГЕНЕРАТОР заданий Живая Тетрадь Расписание занятий Список тем для изучения Прямой эфир из класса Сборники заданий ЕГЭ/ОГЭ

Информация

М Предоплата ЕГЭ 82Б
    ВТ 14.04.2026 Костя (Н) 10-й класс
      5- 5+ повторение
    №1 №2 №3

    [РЕЗУЛЬТАТ] ЕГЭ 82 бал.

    Справочные пособия: Ф1 Ф2

    Картинки: 1 2 ...

    Домашнее задание: РАЗ ДВА ТРИ В конце теста скопировать ССЫЛКУ и прислать вместе с фотографиями решений в TeleGram минимум за час до занятия!


     Кликни для просмотра...
    2 шт.
    ССЫЛКА
    №1 №2 №3

    М Предоплата ЕГЭ 82Б
      ВТ 07.04.2026 Костя (Н) 10-й класс
        5- 5- повторение
      №1 №2 №3

      [РЕЗУЛЬТАТ] ЕГЭ 82 бал.

      Справочные пособия: Ф1

      Записи: 1 2 3 4 5 6 ...

      Домашнее задание: РАЗ ДВА ТРИ В конце теста скопировать ССЫЛКУ и прислать вместе с фотографиями решений в TeleGram минимум за час до занятия!


       Кликни для просмотра...
      6 шт.
      ССЫЛКА
      №1 №2 №3

      М Предоплата ЕГЭ 82Б
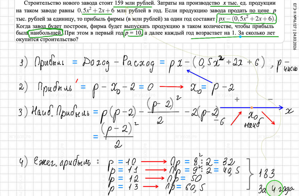
        ВТ 31.03.2026 Костя (Н) 10-й класс
          5- 4+ заводы
        №1 №2 №3

        [РЕЗУЛЬТАТ] ЕГЭ 82 бал.

        Формулы: Ф1 Ф2 Ф3 Ф4

        Картинки: 1 2 3 ...

        ДЗ: РАЗ ДВА В конце теста скопировать ССЫЛКУ и прислать вместе с фотографиями решений в TeleGram минимум за час до занятия!
        Таблицы НАЧАЛО - ПЛАТЕЖ = КОНЕЦ.


        Внесена предоплата за последующие занятия!


         Кликни для просмотра...
        3 шт.
        ССЫЛКА
        №1 №2 №3

        1 Предоплата ЕГЭ 82Б
          ВТ 24.03.2026 Костя (Н) 10-й класс
            5 4+ завод
          №1 №2

          Остаток: 1 час

          [РЕЗУЛЬТАТ] ЕГЭ 82 бал.

          Справочные пособия: Ф1 Ф2

          Картинки: 1 2 ...

          ДЗ: РАЗ ДВА В конце теста скопировать ССЫЛКУ и прислать вместе с фотографиями решений в TeleGram минимум за час до занятия!
          Старайся таблицей (краткой).


           Кликни для просмотра...
          2 шт.
          ССЫЛКА
          №1 №2

          М Предоплата ЕГЭ 82Б
            ВТ 17.03.2026 Костя (Н) 10-й класс
              4+ 5- прогрессия
            №1 №2 №3

            [РЕЗУЛЬТАТ] ЕГЭ 82 бал.

            Справочные пособия: Ф1 Ф2 Ф3

            Картинки: 1 2 ...

            Домашнее задание: ТЕСТ В конце теста скопировать ССЫЛКУ и прислать вместе с фотографиями решений в TeleGram минимум за час до занятия!


             Кликни для просмотра...
            2 шт.
            ССЫЛКА
            №1 №2 №3

            М Предоплата ЕГЭ 81Б
              ВТ 10.03.2026 Костя (Н) 10-й класс
                5- 4+ таблица
              №1 №2 №3

              [РЕЗУЛЬТАТ] ЕГЭ 81 бал.

              Справочные пособия: Ф1 Ф2

              Записи: 1 2 3 4 5 6 7 ещё

              ДЗ: ТЕСТ В конце теста скопировать ССЫЛКУ и прислать вместе с фотографиями решений в TeleGram минимум за час до занятия!
              Если написат неверный ответ, то будет решение похожей задачи!


              Если основание меньше единицы, то меняем знак неравенства (логарифмы и показатели степеней)


               Кликни для просмотра...
              9+ шт.
              ССЫЛКА
              №1 №2 №3

              М Предоплата ЕГЭ 80Б
                ВТ 03.03.2026 Костя (Н) 10-й класс
                  5- 5 вклады
                №1 №2 №3

                [РЕЗУЛЬТАТ] ЕГЭ 80 бал.

                Справочные пособия: Ф1 Ф2

                Картинки: 1 2 3 4 ...

                Домашнее задание: РАЗ ДВА В конце теста скопировать ССЫЛКУ и прислать вместе с фотографиями решений в TeleGram минимум за час до занятия!


                Добавить 20% - умножить на 1,2.


                 Кликни для просмотра...
                4 шт.
                ССЫЛКА
                №1 №2 №3

                М Предоплата ЕГЭ 78Б
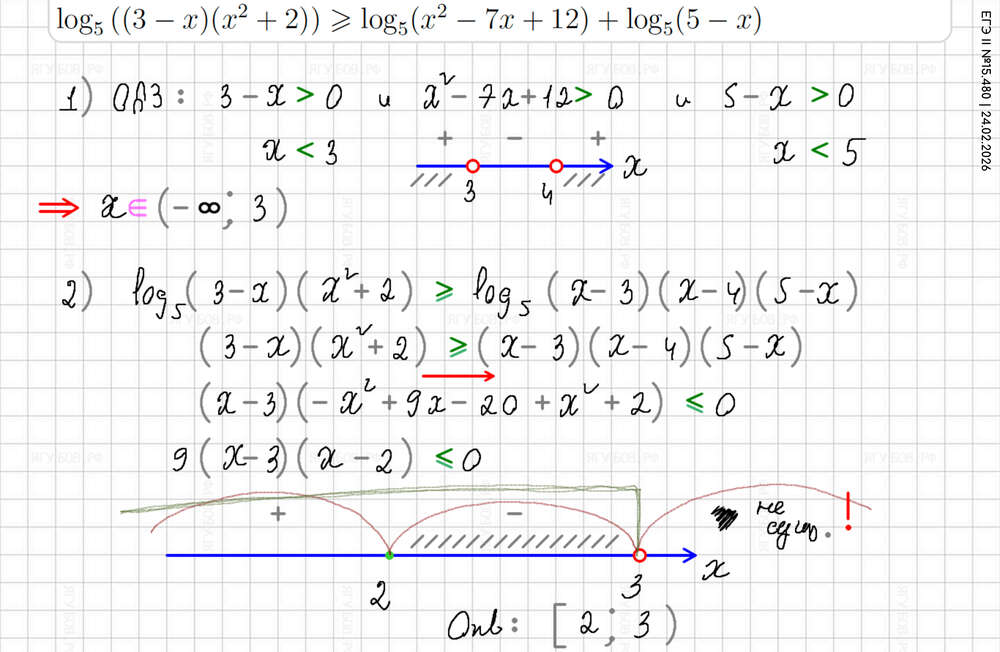
                  ВТ 24.02.2026 Костя (Н) 10-й класс
                    5+ 4+ логарифмы
                  №1 №2 №3

                  [РЕЗУЛЬТАТ] ЕГЭ 78 бал.

                  Справочные пособия: Ф1 Ф2 Ф3

                  Записи: 1 2 3 4 5 6 7 ...

                  ДЗ: РАЗ ДВА В конце теста скопировать ССЫЛКУ и прислать вместе с фотографиями решений в TeleGram минимум за час до занятия!
                  ОДЗ очень важно! знаки не ставить вне области!


                  Внесена предоплата за последующие занятия!


                   Кликни для просмотра...
                  7 шт.
                  ССЫЛКА
                  №1 №2 №3

                  1 Предоплата ЕГЭ 77Б
                    ВТ 17.02.2026 Костя (Н) 10-й класс
                      5 5 показат.
                    №1 №2 №3

                    Остаток: 1 час

                    [РЕЗУЛЬТАТ] ЕГЭ 77 бал.

                    Справочные пособия: Ф1 Ф2 Ф3

                    Записи: 1 2 3 4 5 6 ...

                    Домашнее задание: РАЗ ДВА В конце теста скопировать ССЫЛКУ и прислать вместе с фотографиями решений в TeleGram минимум за час до занятия!


                    Изучим неравенства с логарифмом!


                     Кликни для просмотра...
                    6 шт.
                    ССЫЛКА
                    №1 №2 №3

                    М Предоплата ЕГЭ 76Б
                      ВТ 10.02.2026 Костя (Н) 10-й класс
                        4+ 5- петля
                      №1 №2 №3

                      [РЕЗУЛЬТАТ] ЕГЭ 76 бал.

                      Справочные пособия: Ф1 Ф2 Ф3

                      Записи: 1 2 3 4 5 6 7 ещё

                      Домашнее задание: РАЗ ДВА ТРИ В конце теста скопировать ССЫЛКУ и прислать вместе с фотографиями решений в TeleGram минимум за час до занятия!


                      В логарифме все положительно (ОДЗ).


                       Кликни для просмотра...
                      9 шт.
                      ССЫЛКА
                      №1 №2 №3

                      1 2 3 »

                      БЕСПЛАТНОЕ занятие получают...

                      По праздничным дням: 31 декабря, 23 февраля, 8 марта и 9 мая

                      Клиенты, пришедшие впервые на очное или дистанционное занятие

                      Победитель, по результатам рейтинга учеников за предыдущий месяц

                      Навигация

                      ЯГУБОВ.РФ