Занятия10-й класс [897]

ВЕБИНАРЫ [41]ТРОЙКИ [24]ПАРЫ [279]ВПЛ [14]
Университет [20]Колледж [103]11-й класс [1246]10-й класс [925]
9-й класс [1066]8-й класс [755]7-й класс [387]6-й класс [298]
5-й класс [247]4-й класс [54]3-й класс [25]2-й класс [5]
1-й класс [0]
Юля (Лилия) '25 [55] Макс (Елена) '25 [51]
Алёна (Илона) '25 [57] Афина (Наталья) '25 [57]
Петя (Анна) '25 [54] Даня (Виктория) '24 [24]
Маша (Екатерина) '24 [25] Макс (Виктория) '24 [46]
Олег (Андрей) '23 [6] Костя (Ольга) '23 [26]
Даша (Мария) '23 [10] Егор (Александра) '23 [12]
Надя (Елена) '23 [30] Тёма (Анна) '22 [22]
Ника (Мария) '22 [9] Варя (Светлана) '22 [10]
Паша (Светлана) '21 [14] Миша (Татьяна) '21 [0]
Ира (Анжела) '20 [0] Северьян (Алла) '20 [50]
Ксюша (Вера) '20 [0] Вова (Анна) '20 [16]
Пётр (*Вова) '20 [5] Настя (Елена) '19 [59]
Амир (Макка) '19 [36] Костя (Ирина) '19 [35]
Рома (Елена) '19 [16] Лиза (Лариса) '19 [28]
Арина (Наталья) '19 [11] Катя (Юлия) '18 [2]
Женя (Наталья) '18 [5] Артур (Алла) '18 [8]
Соня (Елена) '18 [4] Даня (Оксана) '18 [24]
Нелли (Вячеслав) '18 [35] Артём (Ануш) '17 [9]
Саша (Виктория) '17 [11] Миша (Наталья) '17 [7]
Миша (Ирина) '17 [0] Сева (Наталья) '25 [31]
Костя (Наталья) '25 [25]

Видео на YouTube Новости в группе Живая Тетрадь Инвестиции в будущее

Раздел 10-й класс

Предоплата ЕГЭ 74Б
    ПН 06.10.2025 Алёна 10-й класс
      5 4+ рацион
    №1 №2 №3

    ДЗ отправлено перед занятием!


    [РЕЗУЛЬТАТ] ЕГЭ 74 бал.

    Формулы: Ф1 Ф2 Ф3 Ф4

    Картинки: 1 2 3 4 5 ...

    Домашнее задание: РАЗ ДВА В конце теста скопировать ССЫЛКУ и прислать вместе с фотографиями решений в TeleGram минимум за час до занятия!


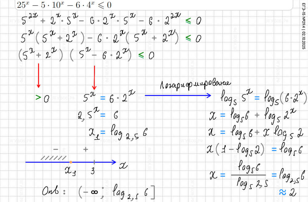
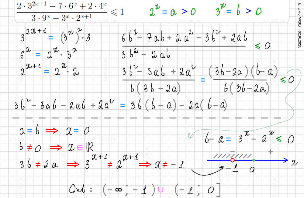
    Замены обратные через неравенства! Модуль если убрана четная степень! ОДЗ вначале и не отмечать знак


     Кликни для просмотра...
    5 шт.
    ССЫЛКА
    №1 №2 №3

    Предоплата ЕГЭ 58Б
      ВС 05.10.2025 Макс (Е) 10-й класс
        5+ 5- граф.произв.
      №1 №2 №3

      [РЕЗУЛЬТАТ] ЕГЭ 58 бал.

      Справочные пособия: Ф1 Ф2

      Записи: 1 2 3 4 5 6 7 ещё

      Домашнее задание: ТЕСТ В конце теста скопировать ССЫЛКУ и прислать вместе с фотографиями решений в TeleGram минимум за час до занятия!


      Рост = +, Падение = -.


       Кликни для просмотра...
      9+ шт.
      ССЫЛКА
      №1 №2 №3

      М Предоплата БАЗА
        ВС 05.10.2025 Афина (Н) 10-й класс
          4- 2 тангенс
        №1 №2 №3

        Не выполнено ДЗ!


        [РЕЗУЛЬТАТ] БАЗА 5 бал.

        Справочные пособия: Ф1 Ф2 Ф3

        Записи: 1 2 3 4 5 6 7 ...

        Домашнее задание: ТЕСТ В конце теста скопировать ССЫЛКУ и прислать вместе с фотографиями решений в TeleGram минимум за час до занятия!


        Остались формулы (3 номер в плане).


         Кликни для просмотра...
        7 шт.
        ССЫЛКА
        №1 №2 №3

        Предоплата ОГЭ 25Б
          СБ 04.10.2025 Петя (А) 10-й класс
            4- 4+ объемы
          №1 №3

          [РЕЗУЛЬТАТ] ОГЭ 25 бал.

          Справочные пособия: Ф1

          Записи: 1 2 3 4 5 6 7 ещё

          Домашнее задание: ТЕСТ В конце теста скопировать ССЫЛКУ и прислать вместе с фотографиями решений в TeleGram минимум за час до занятия!


          1м=100см, 1м^2=100x100 см^2


           Кликни для просмотра...
          9+ шт.
          ССЫЛКА
          №1 №3

          Предоплата ЕГЭ 52Б
            ПТ 03.10.2025 Макс (Е) 10-й класс
              5+ 5- слож.функ.
            №1 №2 №3

            [РЕЗУЛЬТАТ] ЕГЭ 52 бал.

            Справочные пособия: Ф1

            Записи: 1 2 3 4 5 6 7 ещё

            ДЗ: ТЕСТ В конце теста скопировать ССЫЛКУ и прислать вместе с фотографиями решений в TeleGram минимум за час до занятия!
            Смотреть формулы!


             Кликни для просмотра...
            9+ шт.
            ССЫЛКА
            №1 №2 №3

            Предоплата ЕГЭ 74Б
              ЧТ 02.10.2025 Алёна (И) 10-й класс
                5+ 5- показат.
              №1 №2 №3

              [РЕЗУЛЬТАТ] ЕГЭ 74 бал.

              Справочные пособия: Ф1 Ф2

              Картинки: 1 2 3 4 ...

              Домашнее задание: РАЗ ДВА В конце теста скопировать ССЫЛКУ и прислать вместе с фотографиями решений в TeleGram минимум за час до занятия!


              Замену через числовую ось переводим, чтобы не ошибиться в знаках неравенства!


               Кликни для просмотра...
              4 шт.
              ССЫЛКА
              №1 №2 №3

              М Предоплата ЕГЭ 58Б
                ЧТ 02.10.2025 Юля (Л) 10-й класс
                  5- 5- произв.
                №1 №2

                [РЕЗУЛЬТАТ] ЕГЭ 58 бал.

                Справочные пособия: Ф1

                Записи: 1 2 3 4 5 6 7 ещё

                ДЗ: ТЕСТ В конце теста скопировать ССЫЛКУ и прислать вместе с фотографиями решений в TeleGram минимум за час до занятия!
                Производная от числа = нулю!


                Если не x, то умножить на производную от выражения!


                 Кликни для просмотра...
                9 шт.
                ССЫЛКА
                №1 №2

                Предоплата ЕГЭ 74Б
                  СР 01.10.2025 Алёна (И) 10-й класс
                    5+ 5+ мет.интервалов
                  №1 №2 №3

                  Бесплатное занятие!


                  [РЕЗУЛЬТАТ] ЕГЭ 74 бал.

                  Формулы: Ф1 Ф2 Ф3 Ф4

                  Записи: 1 2 3 4 5 6 ...

                  ДЗ: РАЗ ДВА В конце теста скопировать ССЫЛКУ и прислать вместе с фотографиями решений в TeleGram минимум за час до занятия!
                  Посмотреть формулы!


                  Час бесплатно за окно!


                   Кликни для просмотра...
                  6 шт.
                  ССЫЛКА
                  №1 №2 №3

                  М Предоплата ЕГЭ 58Б
                    ВТ 30.09.2025 Юля (Л) 10-й класс
                      5 5 произв
                    №1 №2 №3

                    [РЕЗУЛЬТАТ] ЕГЭ 58 бал.

                    Справочные пособия: Ф1 Ф2

                    Записи: 1 2 3 4 5 6 7 ещё

                    Домашнее задание: ТЕСТ В конце теста скопировать ССЫЛКУ и прислать вместе с фотографиями решений в TeleGram минимум за час до занятия!


                    Внесена предоплата за последующие занятия!


                     Кликни для просмотра...
                    9 шт.
                    ССЫЛКА
                    №1 №2 №3

                    Предоплата ОГЭ 25Б
                      ВТ 30.09.2025 Петя (А) 10-й класс
                        4+ 4- сечение
                      №1 №3

                      [РЕЗУЛЬТАТ] ОГЭ 25 бал.

                      Справочные пособия: Ф1 Ф2

                      Записи: 1 2 3 4 5 6 7 ещё

                      Домашнее задание: ТЕСТ В конце теста скопировать ССЫЛКУ и прислать вместе с фотографиями решений в TeleGram минимум за час до занятия!


                      Сечение делит фигуру на части!


                       Кликни для просмотра...
                      9+ шт.
                      ССЫЛКА
                      №1 №3

                      « 1 2 ... 26 27 28 29 30 ... 89 90 »

                      БЕСПЛАТНОЕ занятие получают...

                      По праздничным дням: 31 декабря, 23 февраля, 8 марта и 9 мая

                      Клиенты, пришедшие впервые на очное или дистанционное занятие

                      Победитель, по результатам рейтинга учеников за предыдущий месяц

                      Навигация