Занятия10-й класс [896]

ВЕБИНАРЫ [41]ТРОЙКИ [24]ПАРЫ [279]ВПЛ [14]
Университет [20]Колледж [103]11-й класс [1245]10-й класс [924]
9-й класс [1066]8-й класс [755]7-й класс [387]6-й класс [298]
5-й класс [247]4-й класс [54]3-й класс [25]2-й класс [5]
1-й класс [0]
Юля (Лилия) '25 [55] Макс (Елена) '25 [50]
Алёна (Илона) '25 [57] Афина (Наталья) '25 [57]
Петя (Анна) '25 [54] Даня (Виктория) '24 [24]
Маша (Екатерина) '24 [25] Макс (Виктория) '24 [46]
Олег (Андрей) '23 [6] Костя (Ольга) '23 [26]
Даша (Мария) '23 [10] Егор (Александра) '23 [12]
Надя (Елена) '23 [30] Тёма (Анна) '22 [22]
Ника (Мария) '22 [9] Варя (Светлана) '22 [10]
Паша (Светлана) '21 [14] Миша (Татьяна) '21 [0]
Ира (Анжела) '20 [0] Северьян (Алла) '20 [50]
Ксюша (Вера) '20 [0] Вова (Анна) '20 [16]
Пётр (*Вова) '20 [5] Настя (Елена) '19 [59]
Амир (Макка) '19 [36] Костя (Ирина) '19 [35]
Рома (Елена) '19 [16] Лиза (Лариса) '19 [28]
Арина (Наталья) '19 [11] Катя (Юлия) '18 [2]
Женя (Наталья) '18 [5] Артур (Алла) '18 [8]
Соня (Елена) '18 [4] Даня (Оксана) '18 [24]
Нелли (Вячеслав) '18 [35] Артём (Ануш) '17 [9]
Саша (Виктория) '17 [11] Миша (Наталья) '17 [7]
Миша (Ирина) '17 [0] Сева (Наталья) '25 [31]
Костя (Наталья) '25 [25]

Видео на YouTube Новости в группе Живая Тетрадь Инвестиции в будущее

Раздел 10-й класс

М Предоплата БАЗА 10Б
    ВС 16.11.2025 Афина 10-й класс
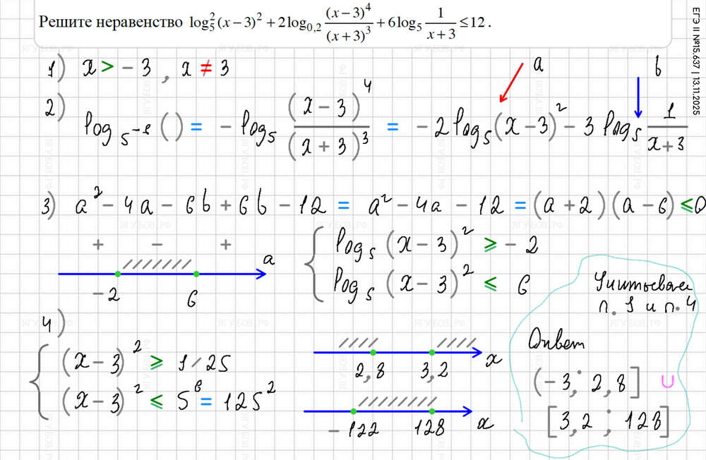
      4 5- логарифмы
    №1 №2

    Выполнена часть ДЗ!


    [РЕЗУЛЬТАТ] БАЗА 10 бал.

    Справочные пособия: Ф1

    Записи: 1 2 3 4 5 6 7 ещё

    Домашнее задание: ТЕСТ В конце теста скопировать ССЫЛКУ и прислать вместе с фотографиями решений в TeleGram минимум за час до занятия!


    Смотреть классную работу и формулы! Минус в степени - переворот! Логарифм - степень числа!


     Кликни для просмотра...
    9+ шт.
    ССЫЛКА
    №1 №2

    Предоплата ОГЭ 25Б
      СБ 15.11.2025 Петя (А) 10-й класс
        5 4- форм.приведения
      №1

      [РЕЗУЛЬТАТ] ОГЭ 25 бал.

      Формулы: Ф1 Ф2 Ф3 Ф4 Ф5

      Записи: 1 2 3 4 5 6 7 ещё

      ДЗ: ТЕСТ В конце теста скопировать ССЫЛКУ и прислать вместе с фотографиями решений в TeleGram минимум за час до занятия!
      Пробовать!


       Кликни для просмотра...
      9+ шт.
      ССЫЛКА
      №1

      Предоплата ЕГЭ 82Б
        ЧТ 13.11.2025 Алёна (И) 10-й класс
          5+ 4+ нач.парам.
        №1 №2 №3

        [РЕЗУЛЬТАТ] ЕГЭ 82 бал.

        Формулы: Ф1 Ф2 Ф3 Ф4

        Картинки: 1 2 3 4 ...

        Домашнее задание: РАЗ ДВА ТРИ В конце теста скопировать ССЫЛКУ и прислать вместе с фотографиями решений в TeleGram минимум за час до занятия!


        Двойное возведение в квадрат - норма!


         Кликни для просмотра...
        4 шт.
        ССЫЛКА
        №1 №2 №3

        М Предоплата ЕГЭ 72Б
          ЧТ 13.11.2025 Юля (Л) 10-й класс
            5 5 тригонометрия
          №1 №2 №3

          [РЕЗУЛЬТАТ] ЕГЭ 72 бал.

          Формулы: Ф1 Ф2 Ф3 Ф4

          Картинки: 1 2 3 4 5 ...

          ДЗ: РАЗ ДВА ТРИ В конце теста скопировать ССЫЛКУ и прислать вместе с фотографиями решений в TeleGram минимум за час до занятия!
          Попробовать пару заданий по тригонометрии!


          Выучить число сочетаний! Точки на окружности повторяются через круг 2пи K


           Кликни для просмотра...
          5 шт.
          ССЫЛКА
          №1 №2 №3

          Предоплата ЕГЭ 78Б
            СР 12.11.2025 Макс 10-й класс
              5 5+ модули
            №1 №2

            Занятие перенесено учеником!


            [РЕЗУЛЬТАТ] ЕГЭ 78 бал.

            Справочные пособия: Ф1 Ф2 Ф3

            Записи: 1 2 3 4 5 6 ...

            ДЗ: РАЗ ДВА В конце теста скопировать ССЫЛКУ и прислать вместе с фотографиями решений в TeleGram минимум за час до занятия!
            С картинки хотя бы 3 разных типов модуля!


             Кликни для просмотра...
            6 шт.
            ССЫЛКА
            №1 №2

            М Предоплата БАЗА 10Б
              СР 12.11.2025 Афина 10-й класс
                4 3- корни
              №1 №2 №3

              Выполнена часть ДЗ!


              [РЕЗУЛЬТАТ] БАЗА 10 бал.

              Справочные пособия: Ф1 Ф2

              Записи: 1 2 3 4 5 6 7 ещё

              Домашнее задание: РАЗ ДВА В конце теста скопировать ССЫЛКУ и прислать вместе с фотографиями решений в TeleGram минимум за час до занятия!


              Корни нельзя складывать и вычитать! Только под один и сокращать!


               Кликни для просмотра...
              9+ шт.
              ССЫЛКА
              №1 №2 №3

              М Предоплата ЕГЭ 70Б
                ВТ 11.11.2025 Юля (Л) 10-й класс
                  5+ 5- пробелы
                №1 №2 №3

                [РЕЗУЛЬТАТ] ЕГЭ 70 бал.

                Справочные пособия: Ф1 Ф2 Ф3

                Записи: 1 2 3 4 5 6 7 ...

                Домашнее задание: РАЗ ДВА В конце теста скопировать ССЫЛКУ и прислать вместе с фотографиями решений в TeleGram минимум за час до занятия!


                Косинус двойного помнить! Лучше 3 формулы!


                 Кликни для просмотра...
                7 шт.
                ССЫЛКА
                №1 №2 №3

                М Предоплата ЕГЭ 18Б
                  ВТ 11.11.2025 Костя (Н) 10-й класс
                    5+ 5+ урав./выраж.
                  №1 №2 №3

                  Остаток: НОЯБ. 2025 & 2

                  [РЕЗУЛЬТАТ] ЕГЭ 18 бал.

                  Справочные пособия: Ф1 Ф2 Ф3

                  Записи: 1 2 3 4 5 6 7 ещё

                  Домашнее задание: РАЗ ДВА В конце теста скопировать ССЫЛКУ и прислать вместе с фотографиями решений в TeleGram минимум за час до занятия!


                  У косинуса двойного угла три формулы!


                   Кликни для просмотра...
                  9+ шт.
                  ССЫЛКА
                  №1 №2 №3

                  Предоплата ОГЭ 25Б
                    ВТ 11.11.2025 Петя 10-й класс
                      4+ 5- двойной
                    №1

                    Нет решения к ДЗ!


                    [РЕЗУЛЬТАТ] ОГЭ 25 бал.

                    Справочные пособия: Ф1 Ф2 Ф3

                    Записи: 1 2 3 4 5 6 7 ещё

                    Домашнее задание: ТЕСТ В конце теста скопировать ССЫЛКУ и прислать вместе с фотографиями решений в TeleGram минимум за час до занятия!


                    У косинуса двойного угла три формулы!


                     Кликни для просмотра...
                    9+ шт.
                    ССЫЛКА
                    №1

                    М Предоплата ЕГЭ 67Б
                      ПН 10.11.2025 Сева (Н) 10-й класс
                        5- 5+ графики/многогр
                      №1 №2 №3

                      [РЕЗУЛЬТАТ] ЕГЭ 67 бал.

                      Формулы: Ф1 Ф2 Ф3 Ф4 Ф5 Ф6 Ф7

                      Записи: 1 2 3 4 5 6 7 ещё

                      ДЗ: ТЕСТ В конце теста скопировать ССЫЛКУ и прислать вместе с фотографиями решений в TeleGram минимум за час до занятия!
                      Пробовать как можно больше! Графики в предыдущей домашке!


                      Объем призмы = площадь основания на высоту. Пирамида = Sh/3


                       Кликни для просмотра...
                      9+ шт.
                      ССЫЛКА
                      №1 №2 №3

                      « 1 2 ... 19 20 21 22 23 ... 89 90 »

                      БЕСПЛАТНОЕ занятие получают...

                      По праздничным дням: 31 декабря, 23 февраля, 8 марта и 9 мая

                      Клиенты, пришедшие впервые на очное или дистанционное занятие

                      Победитель, по результатам рейтинга учеников за предыдущий месяц

                      Навигация