ЗАНЯТИЯ10-й классМакс (Елена) '25 [50]

ВЕБИНАРЫ [41]ТРОЙКИ [24]ПАРЫ [279]ВПЛ [14]
Университет [20]Колледж [103]11-й класс [1245]10-й класс [923]
9-й класс [1065]8-й класс [755]7-й класс [387]6-й класс [298]
5-й класс [247]4-й класс [54]3-й класс [25]2-й класс [5]
1-й класс [0]
Юля (Лилия) '25 [55] Макс (Елена) '25 [50]
Алёна (Илона) '25 [57] Афина (Наталья) '25 [56]
Петя (Анна) '25 [54] Даня (Виктория) '24 [24]
Маша (Екатерина) '24 [25] Макс (Виктория) '24 [46]
Олег (Андрей) '23 [6] Костя (Ольга) '23 [26]
Даша (Мария) '23 [10] Егор (Александра) '23 [12]
Надя (Елена) '23 [30] Тёма (Анна) '22 [22]
Ника (Мария) '22 [9] Варя (Светлана) '22 [10]
Паша (Светлана) '21 [14] Миша (Татьяна) '21 [0]
Ира (Анжела) '20 [0] Северьян (Алла) '20 [50]
Ксюша (Вера) '20 [0] Вова (Анна) '20 [16]
Пётр (*Вова) '20 [5] Настя (Елена) '19 [59]
Амир (Макка) '19 [36] Костя (Ирина) '19 [35]
Рома (Елена) '19 [16] Лиза (Лариса) '19 [28]
Арина (Наталья) '19 [11] Катя (Юлия) '18 [2]
Женя (Наталья) '18 [5] Артур (Алла) '18 [8]
Соня (Елена) '18 [4] Даня (Оксана) '18 [24]
Нелли (Вячеслав) '18 [35] Артём (Ануш) '17 [9]
Саша (Виктория) '17 [11] Миша (Наталья) '17 [7]
Миша (Ирина) '17 [0] Сева (Наталья) '25 [31]
Костя (Наталья) '25 [25]

ГЕНЕРАТОР заданий Живая Тетрадь Расписание занятий Список тем для изучения Прямой эфир из класса Сборники заданий ЕГЭ/ОГЭ

Информация

М Предоплата ЕГЭ 82Б
    ВС 21.12.2025 Макс 10-й класс
      4- 2 повторение
    №1

    Отвлекается во время занятия!

    Не выполнено ДЗ!


    [РЕЗУЛЬТАТ] ЕГЭ 82 бал.

    Формулы: Ф1 Ф2 Ф3 Ф4

    Картинки: 1 2 3 4 ...

    ДЗ: ТЕСТ В конце теста скопировать ССЫЛКУ и прислать вместе с фотографиями решений в TeleGram минимум за час до занятия!
    СР 21:00


    Учить числа на окружности и помнить про p=1+r/100.


     Кликни для просмотра...
    4 шт.
    ССЫЛКА
    №1

    Предоплата ЕГЭ 82Б
      СР 17.12.2025 Макс 10-й класс
        5- 2 графики
      №1 №3

      Занятие перенесено учеником!

      Не выполнено ДЗ!


      [РЕЗУЛЬТАТ] ЕГЭ 82 бал.

      Справочные пособия: Ф1 Ф2 Ф3

      Записи: 1 2 3 4 5 6 ...

      ДЗ: ТЕСТ В конце теста скопировать ССЫЛКУ и прислать вместе с фотографиями решений в TeleGram минимум за час до занятия!
      Минимум 3 уравнения!


       Кликни для просмотра...
      6 шт.
      ССЫЛКА
      №1 №3

      Предоплата ЕГЭ 82Б
        ПТ 12.12.2025 Макс 10-й класс
          5 4+ тригоном
        №1 №2

        Выполнена часть ДЗ!


        [РЕЗУЛЬТАТ] ЕГЭ 82 бал.

        Справочные пособия: Ф1 Ф2

        Записи: 1 2 3 4 5 6 7 ...

        ДЗ: РАЗ ДВА В конце теста скопировать ССЫЛКУ и прислать вместе с фотографиями решений в TeleGram минимум за час до занятия!
        Сверять решение в тригонометрии! СР 21:00 вместо ВС


         Кликни для просмотра...
        7 шт.
        ССЫЛКА
        №1 №2

        Предоплата ЕГЭ 82Б
          ВС 07.12.2025 Макс (Е) 10-й класс
            5- 5+ тригонометрия
          №1 №2 №3

          [РЕЗУЛЬТАТ] ЕГЭ 82 бал.

          Справочные пособия: Ф1 Ф2 Ф3

          Записи: 1 2 3 4 5 6 ...

          Домашнее задание: РАЗ ДВА ТРИ В конце теста скопировать ССЫЛКУ и прислать вместе с фотографиями решений в TeleGram минимум за час до занятия!


          Выучить окружность! Пи=180 градусов!


           Кликни для просмотра...
          6 шт.
          ССЫЛКА
          №1 №2 №3

          Предоплата ЕГЭ 82Б
            СР 03.12.2025 Макс (Е) 10-й класс
              5+ 5+ прогрессии
            №1 №2 №3

            [РЕЗУЛЬТАТ] ЕГЭ 82 бал.

            Справочные пособия: Ф1

            Записи: 1 2 3 4 5 6 7 ещё

            ДЗ: РАЗ ДВА В конце теста скопировать ССЫЛКУ и прислать вместе с фотографиями решений в TeleGram минимум за час до занятия!
            Занятие в ВС! В пятницу отдыхаем!


            Сумма ряда чисел = (первое + последние)/2 и умножить на количество!


             Кликни для просмотра...
            9+ шт.
            ССЫЛКА
            №1 №2 №3

            Предоплата ЕГЭ 80Б
              ВС 30.11.2025 Макс 10-й класс
                4+ 2 финансы
              №1 №2 №3

              Занятие в СР 21:00 вместо ПТ

              Не выполнено ДЗ!


              [РЕЗУЛЬТАТ] ЕГЭ 80 бал.

              Справочные пособия: Ф1

              Записи: 1 2 3 4 5 6 ...

              Домашнее задание: ТЕСТ В конце теста скопировать ССЫЛКУ и прислать вместе с фотографиями решений в TeleGram минимум за час до занятия!


              Изучим с прогрессией!


               Кликни для просмотра...
              6 шт.
              ССЫЛКА
              №1 №2 №3

              Предоплата ЕГЭ 78Б
                СР 26.11.2025 Макс 10-й класс
                  5- 4+ логарифмы
                №1 №2 №3

                Выполнена часть ДЗ!


                [РЕЗУЛЬТАТ] ЕГЭ 78 бал.

                Формулы: Ф1 Ф2 Ф3 Ф4

                Записи: 1 2 3 4 5 6 7 ...

                Домашнее задание: РАЗ ДВА В конце теста скопировать ССЫЛКУ и прислать вместе с фотографиями решений в TeleGram минимум за час до занятия!


                ОДЗ в логарифмах a,b>0 и основание не равно единице!


                 Кликни для просмотра...
                7 шт.
                ССЫЛКА
                №1 №2 №3

                Предоплата ЕГЭ 78Б
                  ПТ 21.11.2025 Макс 10-й класс
                    5 5- показат.
                  №1 №2 №3

                  Выполнена часть ДЗ!


                  [РЕЗУЛЬТАТ] ЕГЭ 78 бал.

                  Справочные пособия: Ф1 Ф2 Ф3

                  Записи: 1 2 3 4 5 6 7 ...

                  Домашнее задание: РАЗ ДВА В конце теста скопировать ССЫЛКУ и прислать вместе с фотографиями решений в TeleGram минимум за час до занятия!


                  Ноль в результате нельзя получить, поэтому бесконечность!


                   Кликни для просмотра...
                  7 шт.
                  ССЫЛКА
                  №1 №2 №3

                  Предоплата ЕГЭ 78Б
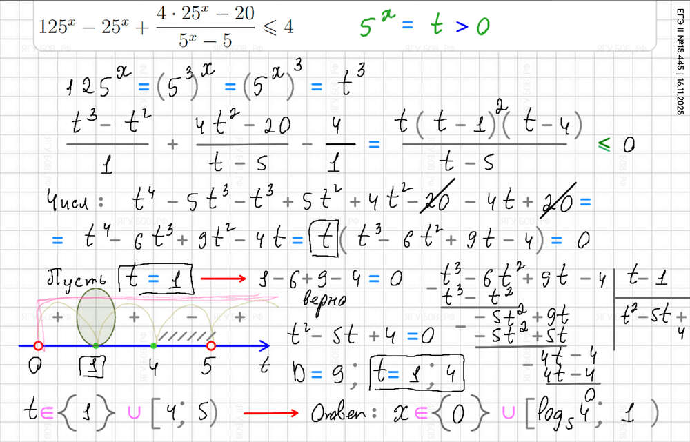
                    ВС 16.11.2025 Макс 10-й класс
                      5- 2 показательные
                    №1 №2 №3

                    Были проблемы с интернетом!

                    Не выполнено ДЗ!


                    [РЕЗУЛЬТАТ] ЕГЭ 78 бал.

                    Справочные пособия: Ф1 Ф2 Ф3

                    Картинки: 1 2 3 4 ...

                    ДЗ: РАЗ ДВА В конце теста скопировать ССЫЛКУ и прислать вместе с фотографиями решений в TeleGram минимум за час до занятия!
                    Пробовать неравенства!


                    Замена больше нуля! Корни без минусов, а на ноль делить нельзя!


                     Кликни для просмотра...
                    4 шт.
                    ССЫЛКА
                    №1 №2 №3

                    Предоплата ЕГЭ 78Б
                      СР 12.11.2025 Макс 10-й класс
                        5 5+ модули
                      №1 №2

                      Занятие перенесено учеником!


                      [РЕЗУЛЬТАТ] ЕГЭ 78 бал.

                      Справочные пособия: Ф1 Ф2 Ф3

                      Записи: 1 2 3 4 5 6 ...

                      ДЗ: РАЗ ДВА В конце теста скопировать ССЫЛКУ и прислать вместе с фотографиями решений в TeleGram минимум за час до занятия!
                      С картинки хотя бы 3 разных типов модуля!


                       Кликни для просмотра...
                      6 шт.
                      ССЫЛКА
                      №1 №2

                      « 1 2 3 4 5 »

                      БЕСПЛАТНОЕ занятие получают...

                      По праздничным дням: 31 декабря, 23 февраля, 8 марта и 9 мая

                      Клиенты, пришедшие впервые на очное или дистанционное занятие

                      Победитель, по результатам рейтинга учеников за предыдущий месяц

                      Навигация

                      9-й