ЗАНЯТИЯ10-й классМаша (Екатерина) '24 [25]

ВЕБИНАРЫ [41]ТРОЙКИ [24]ПАРЫ [282]ВПЛ [14]
Университет [20]Колледж [103]11-й класс [1258]10-й класс [952]
9-й класс [1082]8-й класс [759]7-й класс [387]6-й класс [298]
5-й класс [247]4-й класс [54]3-й класс [25]2-й класс [5]
1-й класс [0]
Юля (Лилия) '25 [58] Макс (Елена) '25 [56]
Алёна (Илона) '25 [63] Афина (Наталья) '25 [61]
Петя (Анна) '25 [58] Даня (Виктория) '24 [24]
Маша (Екатерина) '24 [25] Макс (Виктория) '24 [46]
Олег (Андрей) '23 [6] Костя (Ольга) '23 [26]
Даша (Мария) '23 [10] Егор (Александра) '23 [12]
Надя (Елена) '23 [30] Тёма (Анна) '22 [22]
Ника (Мария) '22 [9] Варя (Светлана) '22 [10]
Паша (Светлана) '21 [14] Миша (Татьяна) '21 [0]
Ира (Анжела) '20 [0] Северьян (Алла) '20 [50]
Ксюша (Вера) '20 [0] Вова (Анна) '20 [16]
Пётр (*Вова) '20 [5] Настя (Елена) '19 [59]
Амир (Макка) '19 [36] Костя (Ирина) '19 [35]
Рома (Елена) '19 [16] Лиза (Лариса) '19 [28]
Арина (Наталья) '19 [11] Катя (Юлия) '18 [2]
Женя (Наталья) '18 [5] Артур (Алла) '18 [8]
Соня (Елена) '18 [4] Даня (Оксана) '18 [24]
Нелли (Вячеслав) '18 [35] Артём (Ануш) '17 [9]
Саша (Виктория) '17 [11] Миша (Наталья) '17 [7]
Миша (Ирина) '17 [0] Сева (Наталья) '25 [34]
Костя (Наталья) '25 [27]

ГЕНЕРАТОР заданий Живая Тетрадь Расписание занятий Список тем для изучения Прямой эфир из класса Сборники заданий ЕГЭ/ОГЭ

Информация

3 Предоплата ЕГЭ 78Б
    ВТ 22.04.2025 Маша (Е) 10-й класс
      5- 5- сума/разность
    №1 №3

    Остаток: 3 часа

    [РЕЗУЛЬТАТ] ЕГЭ 78 бал.

    Справочные пособия: Ф1 Ф2 Ф3

    Картинки: 1 2 3 4 ...

    ДЗ: ТЕСТ В конце теста скопировать ССЫЛКУ и прислать вместе с фотографиями решений в TeleGram минимум за час до занятия!
    Выучить табличные значения или понять окружность!


    Формулы суммы и разности для синуса и косинуса!


     Кликни для просмотра...
    4 шт.
    ССЫЛКА
    №1 №3

    М Предоплата ЕГЭ 78Б
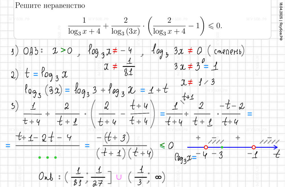
      ПТ 18.04.2025 Маша (Е) 10-й класс
        5+ 5- сумма/разность
      №1 №2

      Остаток: АПР. 2025 & 1

      [РЕЗУЛЬТАТ] ЕГЭ 78 бал.

      Справочные пособия: Ф1 Ф2 Ф3

      Картинки: 1 2 3 4 ...

      Домашнее задание: РАЗ ДВА В конце теста скопировать ССЫЛКУ и прислать вместе с фотографиями решений в TeleGram минимум за час до занятия!


       Кликни для просмотра...
      4 шт.
      ССЫЛКА
      №1 №2

      М Предоплата ЕГЭ 78Б
        ВТ 08.04.2025 Маша 90 минут
          5+ 5+ двойной-угол
        №1 №2 №3

        Остаток: АПР. 2025 & 1

        [РЕЗУЛЬТАТ] ЕГЭ 78 бал.

        Справочные пособия: Ф1 Ф2

        Записи: 1 2 3 4 5 6 7 ещё

        ДЗ: РАЗ ДВА В конце теста скопировать ССЫЛКУ и прислать вместе с фотографиями решений в TeleGram минимум за час до занятия!
        До ВТ (15 апреля).


        Точки приводим к промежутку через +-2пи. Но нужно проверять, возможно еще раз +-2пи.


         Кликни для просмотра...
        9+ шт.
        ССЫЛКА
        №1 №2 №3

        М Предоплата ЕГЭ 76Б
          ПТ 04.04.2025 Маша (Е) 10-й класс
            5+ 5+ групп.
          №1 №2 №3

          Остаток: АПР. 2025 & 1

          [РЕЗУЛЬТАТ] ЕГЭ 76 бал.

          Справочные пособия: Ф1 Ф2 Ф3

          Картинки: 1 2 3 4 5 ...

          Домашнее задание: РАЗ ДВА В конце теста скопировать ССЫЛКУ и прислать вместе с фотографиями решений в TeleGram минимум за час до занятия!


          Квадратные уравнения или группировка. Ориентироваться по окружности. Формулы прикрепил!


           Кликни для просмотра...
          5 шт.
          ССЫЛКА
          №1 №2 №3

          М Предоплата ЕГЭ 76Б
            ВТ 01.04.2025 Маша (Е) 10-й класс
              4+ 5- отбор
            №1 №2 №3

            Остаток: АПР. 2025 & 1

            [РЕЗУЛЬТАТ] ЕГЭ 76 бал.

            Формулы: Ф1 Ф2 Ф3 Ф4 Ф5

            Картинки: 1 2 3 4 ...

            ДЗ: РАЗ ДВА В конце теста скопировать ССЫЛКУ и прислать вместе с фотографиями решений в TeleGram минимум за час до занятия!
            Б) отбор Корней в промежутке


            Начнем тригонометрию!


             Кликни для просмотра...
            4 шт.
            ССЫЛКА
            №1 №2 №3

            М Предоплата ЕГЭ 72Б
              ПТ 21.03.2025 Маша (Е) 10-й класс
                4- 5- замена-лог.
              №1 №2 №3

              Остаток: МАР. 2025 & 1

              [РЕЗУЛЬТАТ] ЕГЭ 72 бал.

              Справочные пособия: Ф1 Ф2

              Записи: 1 2 3 4 5 6 ...

              ДЗ: РАЗ ДВА ТРИ В конце теста скопировать ССЫЛКУ и прислать вместе с фотографиями решений в TeleGram минимум за час до занятия!
              Занятие в СР 17:00.


              Повторить логарифмы!


               Кликни для просмотра...
              6 шт.
              ССЫЛКА
              №1 №2 №3

              ВТ 18.03.2025 Маша (Е) 10-й класс
                4+ 5- лог=0
              №1 №2 №3

              Остаток: МАР. 2025 & 1

              [РЕЗУЛЬТАТ] ЕГЭ 73 бал.

              Справочные пособия: Ф1 Ф2

              Записи: 1 2 3 4 5 6 ...

              ДЗ: РАЗ ДВА ТРИ В конце теста скопировать ССЫЛКУ и прислать вместе с фотографиями решений в TeleGram минимум за час до занятия!
              Если у логарифма основание меньше единицы то при бесконечном аргументе его результат отрицательный.


              Внесена предоплата за последующие занятия! Бронь на 2025/2026 учебный год!


               Кликни для просмотра...
              6 шт.
              ССЫЛКА
              №1 №2 №3

              М Предоплата ЕГЭ 72Б
                ПТ 14.03.2025 Маша (Е) 10-й класс
                  4+ 5- степ.-лог.
                №1 №2 №3

                Остаток: МАР. 2025 & 1

                [РЕЗУЛЬТАТ] ЕГЭ 72 бал.

                Формулы: Ф1 Ф2 Ф3 Ф4 Ф5 Ф6

                Записи: 1 2 3 4 5 6 7 ...

                Домашнее задание: РАЗ ДВА В конце теста скопировать ССЫЛКУ и прислать вместе с фотографиями решений в TeleGram минимум за час до занятия!


                Дор и можно делить по частям - разбивать на две или больше с общим знаменатель!


                 Кликни для просмотра...
                7 шт.
                ССЫЛКА
                №1 №2 №3

                М Предоплата ЕГЭ 72Б
                  ВТ 11.03.2025 Маша (Е) 10-й класс
                    4+ 5- показательные
                  №1 №2 №3

                  Остаток: МАР. 2025 & 1

                  [РЕЗУЛЬТАТ] ЕГЭ 72 бал.

                  Справочные пособия: Ф1 Ф2 Ф3

                  Записи: 1 2 3 4 5 6 ...

                  ДЗ: РАЗ ДВА В конце теста скопировать ССЫЛКУ и прислать вместе с фотографиями решений в TeleGram минимум за час до занятия!
                  Замена больше нуля! Первое неравенство не делать!


                   Кликни для просмотра...
                  6 шт.
                  ССЫЛКА
                  №1 №2 №3

                  М Предоплата ЕГЭ 72Б
                    ПТ 07.03.2025 Маша (Е) 10-й класс
                      4+ 4 разложение
                    №1 №2 №3

                    Остаток: МАР. 2025 & 1

                    [РЕЗУЛЬТАТ] ЕГЭ 72 бал.

                    Справочные пособия: Ф1 Ф2 Ф3

                    Записи: 1 2 3 4 5 6 ...

                    Домашнее задание: РАЗ ДВА ТРИ В конце теста скопировать ССЫЛКУ и прислать вместе с фотографиями решений в TeleGram минимум за час до занятия!


                    Последнее число по Виета - произведение корней, а число в середине - их сумма (но противоположная).


                     Кликни для просмотра...
                    6 шт.
                    ССЫЛКА
                    №1 №2 №3

                    « 1 2 3 »

                    БЕСПЛАТНОЕ занятие получают...

                    По праздничным дням: 31 декабря, 23 февраля, 8 марта и 9 мая

                    Клиенты, пришедшие впервые на очное или дистанционное занятие

                    Победитель, по результатам рейтинга учеников за предыдущий месяц

                    Навигация

                    ОТ БОРК В.
                    live:.cid.e72f7f915d3078bf