ЗАНЯТИЯ11-й классТёма (Наталья) '25 [29]

ВЕБИНАРЫ [41]ТРОЙКИ [24]ПАРЫ [282]ВПЛ [14]
Университет [20]Колледж [103]11-й класс [1258]10-й класс [952]
9-й класс [1082]8-й класс [759]7-й класс [387]6-й класс [298]
5-й класс [247]4-й класс [54]3-й класс [25]2-й класс [5]
1-й класс [0]
Маша (Екатерина) '25 [61] Макс (Виктория) '25 [57]
Даня (Виктория) '25 [37] Тёма (Наталья) '25 [29]
Саша (Марина) '24 [9] Костя (Ольга) '24 [45]
Олег (Андрей) '24 [52] Надя (Елена) '24 [56]
Егор (Александра) '24 [39] Таисия (Руслан) '24 [12]
Даша (Мария) '24 [49] Варя (Светлана) '23 [5]
Ника (Мария) '23 [8] Тёма (Анна) '23 [11]
Саша (Лидия) '23 [6] Илья (Андрей) '23 [13]
Паша (Светлана) '22 [33] Влад (Ольга) '22 [2]
Пелагея (*Андрей) '21 [13] Миша (Татьяна) '21 [0]
Северьян (Алла) '21 [30] Миша (Анна) '21 [3]
Кристина (Татьяна) '21 [12] Амир (Макка) '20 [29]
Вова (Анна) '20 [18] Пётр (*Вова) '20 [27]
Ксюша (Елена) '20 [10] Люба (Екатерина) '20 [18]
Даня (Динара) '20 [19] Костя (Ирина) '20 [21]
Ксюша (Вера) '20 [13] Настя (Елена) '20 [49]
Арина (Наталья) '20 [29] Лиза (Лариса) '20 [44]
Катя (Юлия) '20 [7] Таня (Екатерина) '19 [33]
Артур (Алла) '19 [26] Даня (Оксана) '19 [52]
Нелли (Вячеслав) '19 [34] Надя (Уфа) '19 [1]
Полина (Екатерина) '19 [1] Миша (Андрей) '18 [50]
Дима (Екатерина) '18 [0] Артём (Ануш) '18 [8]
Саша (Виктория) '18 [9] Соня (Елена) '18 [14]
Андрей (Маргарита) '18 [37] Миша (Наталья) '18 [12]
Аркадий (Ирина) '18 [24] Маша (Лариса) '18 [0]
Сона (Лиана) '18 [2] Катя (Ольга) '18 [1]
Егор (Оксана) '17 [4] Дима (Надежда) '17 [4]
Артём (Ольга) '17 [7] Элен (Ася) '17 [5]
Лиза (Ирина) '17 [12] Алина (Маиа) '17 [2]
Давид (Алина) '17 [35] Дима (Николай) '17 [0]
Давид (Карина) '17 [4] Паша (Давид) '17 [4]
Маша (Ольга) '17 [10] Дима (Артём) '17 [0]
Ваня (Михаил) '17 [0] Дима (Стэлла) '26 [1]

ГЕНЕРАТОР заданий Живая Тетрадь Расписание занятий Список тем для изучения Прямой эфир из класса Сборники заданий ЕГЭ/ОГЭ

Информация

М Предоплата ЕГЭ 88Б
    СБ 15.03.2025 Тёма (Н) 11-й класс
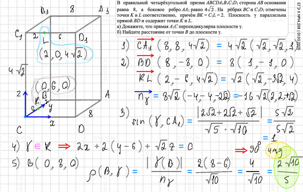
      5 5- координаты
    №1 №2 №3

    Остаток: МАР. 2025 & 1

    [РЕЗУЛЬТАТ] ЕГЭ 88 бал.

    Справочные пособия: Ф1 Ф2

    Картинки: 1 2 3 4 ...

    ДЗ: РАЗ ДВА ТРИ В конце теста скопировать ССЫЛКУ и прислать вместе с фотографиями решений в TeleGram минимум за час до занятия!
    Начать с 14, потом остальное!


     Кликни для просмотра...
    4 шт.
    ССЫЛКА
    №1 №2 №3

    М Предоплата ЕГЭ 88Б
      ЧТ 13.03.2025 Тёма (Н) 11-й класс
        5+ 4- кубы
      №1 №2 №3

      Остаток: МАР. 2025 & 1

      [РЕЗУЛЬТАТ] ЕГЭ 88 бал.

      Справочные пособия: Ф1 Ф2

      Картинки: 1 2 3 4 5 ...

      Домашнее задание: РАЗ ДВА В конце теста скопировать ССЫЛКУ и прислать вместе с фотографиями решений в TeleGram минимум за час до занятия!


      Середину можно найти как среднее арифметическое!


       Кликни для просмотра...
      5 шт.
      ССЫЛКА
      №1 №2 №3

      М Предоплата ЕГЭ 88Б
        ЧТ 06.03.2025 Тёма (Н) 11-й класс
          4+ 3- объемы
        №1 №2 №3

        [РЕЗУЛЬТАТ] ЕГЭ 88 бал.

        Справочные пособия: Ф1 Ф2

        Картинки: 1 ...

        Домашнее задание: РАЗ ДВА ТРИ В конце теста скопировать ССЫЛКУ и прислать вместе с фотографиями решений в TeleGram минимум за час до занятия!


        Многогранник можно разбить на две пирамиды = V3+V4.


         Кликни для просмотра...
        ССЫЛКА
        №1 №2 №3

        М Предоплата ЕГЭ 88Б
          СБ 01.03.2025 Тёма (Н) 11-й класс
            5- 4- реал.стер.
          №1 №2

          [РЕЗУЛЬТАТ] ЕГЭ 88 бал.

          Справочные пособия: Ф1 Ф2

          Картинки: 1 2 3 4 ...

          ДЗ: РАЗ ДВА В конце теста скопировать ССЫЛКУ и прислать вместе с фотографиями решений в TeleGram минимум за час до занятия!
          Учить координаты точек фигур! Хотя бы 3 из ЕГЭ.


           Кликни для просмотра...
          4 шт.
          ССЫЛКА
          №1 №2

          М Предоплата ЕГЭ 88Б
            ЧТ 27.02.2025 Тёма (Н) 11-й класс
              5- 2 точки
            №1 №2 №3

            Не выполнено ДЗ!


            [РЕЗУЛЬТАТ] ЕГЭ 88 бал.

            Справочные пособия: Ф1 Ф2

            Картинки: 1 2 3 ...

            Домашнее задание: РАЗ ДВА ТРИ В конце теста скопировать ССЫЛКУ и прислать вместе с фотографиями решений в TeleGram минимум за час до занятия!


            Внесена предоплата за последующие занятия!


             Кликни для просмотра...
            3 шт.
            ССЫЛКА
            №1 №2 №3

            1 Предоплата ЕГЭ 70Б
              СБ 22.02.2025 Тёма (Н) 11-й класс
                5+ 2 расстояния
              №1 №2 №3

              Остаток: 1 час

              Не выполнено ДЗ!


              [РЕЗУЛЬТАТ] ЕГЭ 70 бал.

              Справочные пособия: Ф1 Ф2

              Картинки: 1 2 3 4 5 ...

              Домашнее задание: РАЗ ДВА ТРИ В конце теста скопировать ССЫЛКУ и прислать вместе с фотографиями решений в TeleGram минимум за час до занятия!


              Осталось разобраться с площадью и соотношениями точек на векторе.


               Кликни для просмотра...
              5 шт.
              ССЫЛКА
              №1 №2 №3

              М Предоплата ЕГЭ 70Б
                ЧТ 20.02.2025 Тёма (Н) 11-й класс
                  5- 4- нормаль
                №1 №2 №3

                [РЕЗУЛЬТАТ] ЕГЭ 70 бал.

                Справочные пособия: Ф1 Ф2

                Записи: 1 2 3 4 5 6 7 ...

                ДЗ: РАЗ ДВА ТРИ В конце теста скопировать ССЫЛКУ и прислать вместе с фотографиями решений в TeleGram минимум за час до занятия!
                Во втором ДЗ синус надо брать! Хотя бы по 5 из каждой!


                Нормаль плоскости по формулам (как пропорция).


                 Кликни для просмотра...
                7 шт.
                ССЫЛКА
                №1 №2 №3

                М Предоплата ЕГЭ 70Б
                  СБ 15.02.2025 Тёма (Н) 11-й класс
                    5- 5- триг.окруж.
                  №1 №2 №3

                  [РЕЗУЛЬТАТ] ЕГЭ 70 бал.

                  Справочные пособия: Ф1 Ф2

                  Записи: 1 2 3 4 5 6 7 ещё

                  ДЗ: РАЗ ДВА ТРИ В конце теста скопировать ССЫЛКУ и прислать вместе с фотографиями решений в TeleGram минимум за час до занятия!
                  По 10 на выбор! Чтобы ответ, нажми на ключ. Чтобы отметить верность - на галочку!


                  Выучить и понять тригонометрический круг!


                   Кликни для просмотра...
                  9+ шт.
                  ССЫЛКА
                  №1 №2 №3

                  М Предоплата ЕГЭ 58Б
                    ЧТ 13.02.2025 Тёма (Н) 11-й класс
                      5- 5- мет.промежутков
                    №1 №2 №3

                    Бесплатное занятие!


                    [РЕЗУЛЬТАТ] ЕГЭ 58 бал.

                    Справочные пособия: Ф1 Ф2 Ф3

                    Картинки: 1 2 3 4 5 ...

                    Домашнее задание: РАЗ ДВА ТРИ В конце теста скопировать ССЫЛКУ и прислать вместе с фотографиями решений в TeleGram минимум за час до занятия!


                    Внесена предоплата за последующие занятия!


                     Кликни для просмотра...
                    5 шт.
                    ССЫЛКА
                    №1 №2 №3

                    « 1 2 3

                    БЕСПЛАТНОЕ занятие получают...

                    По праздничным дням: 31 декабря, 23 февраля, 8 марта и 9 мая

                    Клиенты, пришедшие впервые на очное или дистанционное занятие

                    Победитель, по результатам рейтинга учеников за предыдущий месяц

                    Навигация

                    ЯГУБОВ.РФ