ЗАНЯТИЯ9-й классПетя (Анна) '24 [19]

ВЕБИНАРЫ [41]ТРОЙКИ [24]ПАРЫ [279]ВПЛ [14]
Университет [20]Колледж [103]11-й класс [1245]10-й класс [923]
9-й класс [1065]8-й класс [755]7-й класс [387]6-й класс [298]
5-й класс [247]4-й класс [54]3-й класс [25]2-й класс [5]
1-й класс [0]
Лиза (Анна) '25 [72] Макс (Елена) '24 [32]
Тимур (Макка) '24 [5] Петя (Анна) '24 [19]
Афина (Наталья) '24 [17] Алёна (Илона) '24 [38]
Даня (Виктория) '23 [8] Макс (Виктория) '23 [28]
Костя (Ольга) '23 [12] Таисия (Руслан) '23 [6]
Даша (Мария) '22 [32] Егор (Александра) '22 [35]
Надя (Елена) '22 [34] Ника (Наталья) '22 [15]
Ерем (Репсиме) '22 [0] Серёжа (Мария) '22 [13]
Федя (Татьяна) '21 [0] Тёма (Анна) '21 [1]
Женя (Анна) '20 [3] Настя (Лариса) '20 [28]
Влада (Юлия) '20 [42] Саша (Лидия) '20 [47]
Паша (Светлана) '20 [33] Даня (Надежда) '20 [1]
Ваня (Мария) '19 [63] Северьян (Алла) '19 [41]
Маша (Инна) '19 [4] Даня (Динара) '19 [21]
Миша (Татьяна) '19 [12] Женя (Елена) '19 [18]
Настя (Елена) '19 [7] Полина (Наталья) '18 [10]
Амир (Макка) '18 [35] Арина (Наталья) '18 [13]
Вова (Анна) '18 [17] Рома (Елена) '18 [16]
Даня (Елена) '18 [20] Дана (Юлия) '18 [10]
Костя (Ирина) '18 [14] Настя (Валерия) '18 [5]
Женя (Наталья) '18 [3] Даня (Оксана) '17 [38]
Артур (Алла) '17 [18] Серафима (Лариса) '17 [4]
Лера (Олеся) '17 [11] Нелли (Вячеслав) '17 [36]
Иван (Денис) '24 [16] Глаша (Елена) '24 [2]
Лиза (Светлана) '25 [28] Тёма (Яна) '25 [82]

ГЕНЕРАТОР заданий Живая Тетрадь Расписание занятий Список тем для изучения Прямой эфир из класса Сборники заданий ЕГЭ/ОГЭ

Информация

Предоплата ОГЭ 23Б
    ВТ 15.04.2025 Петя (А) 9-й класс
      5- 5- уравнения
    №1 №2

    Остаток: до 31.05.2025 & 1

    [РЕЗУЛЬТАТ] ОГЭ 23 бал.

    Справочные пособия: Ф1 Ф2 Ф3

    Записи: 1 2 3 4 5 6 7 ещё

    ДЗ: РАЗ ДВА В конце теста скопировать ССЫЛКУ и прислать вместе с фотографиями решений в TeleGram минимум за час до занятия!
    Минимум 10 уравнений!


    Корень неотрицателн! Если перед x минус, то нужно поменять знак неравенства!


     Кликни для просмотра...
    8 шт.
    ССЫЛКА
    №1 №2

    Предоплата ОГЭ 19Б
      ВТ 08.04.2025 Петя (А) 9-й класс
        5+ 4+ округление
      №1 №2 №3

      Остаток: до 31.05.2025 & 1

      [РЕЗУЛЬТАТ] ОГЭ 19 бал.

      Формулы: Ф1 Ф2 Ф3 Ф4

      Записи: 1 2 3 4 5 6 7 ещё

      Домашнее задание: РАЗ ДВА В конце теста скопировать ССЫЛКУ и прислать вместе с фотографиями решений в TeleGram минимум за час до занятия!


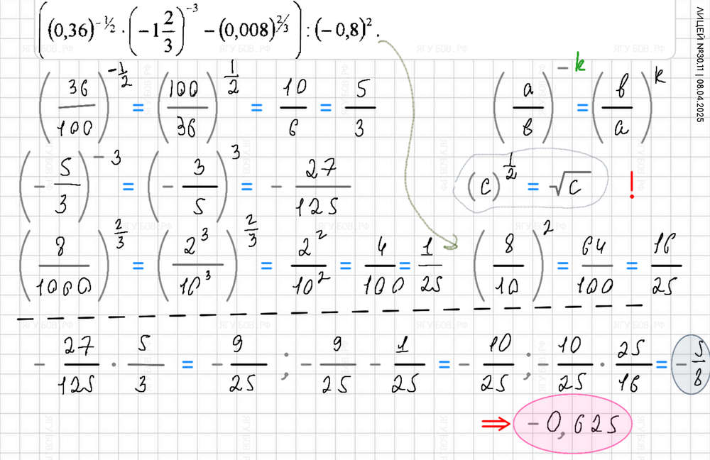
      Степень с минусом = переворот!


       Кликни для просмотра...
      9+ шт.
      ССЫЛКА
      №1 №2 №3

      Предоплата ОГЭ 19Б
        СБ 05.04.2025 Петя (А) 9-й класс
          4+ 5- косинус
        №1 №2 №3

        Остаток: до 31.05.2025 & 1

        [РЕЗУЛЬТАТ] ОГЭ 19 бал.

        Справочные пособия: Ф1 Ф2

        Записи: 1 2 3 4 5 6 7 ещё

        Домашнее задание: РАЗ ДВА В конце теста скопировать ССЫЛКУ и прислать вместе с фотографиями решений в TeleGram минимум за час до занятия!


        Косинус=ближний/гипотенузу, синус=дальний/гипотенузу, тангенс=дальний/ближний.


         Кликни для просмотра...
        8 шт.
        ССЫЛКА
        №1 №2 №3

        Предоплата ОГЭК 15Б
          СБ 22.03.2025 Петя (А) 9-й класс
            5- 5+ ОГЭКР
          №1 №2 №3

          Остаток: до 31.05.2025 & 1

          [РЕЗУЛЬТАТ] ОГЭК 15 бал.

          Справочные пособия: Ф1 Ф2 Ф3

          Записи: 1 2 3 4 5 6 7 ещё

          ДЗ: ТЕСТ В конце теста скопировать ССЫЛКУ и прислать вместе с фотографиями решений в TeleGram минимум за час до занятия!
          Чем больше, тем лучше!


          Пробелы с Пифагором, сплавами и деревнями!


           Кликни для просмотра...
          9+ шт.
          ССЫЛКА
          №1 №2 №3

          ВТ 04.03.2025 Петя (А) 9-й класс
            5+ 4+ геометрия
          №1 №2 №3

          Остаток: до 31.05.2025 & 1

          [РЕЗУЛЬТАТ] ОГЭ 16 бал.

          Справочные пособия: Ф1 Ф2 Ф3

          Записи: 1 2 3 4 5 6 7 ещё

          ДЗ: РАЗ ДВА ТРИ В конце теста скопировать ССЫЛКУ и прислать вместе с фотографиями решений в TeleGram минимум за час до занятия!
          Суммы противоположных сторон равны если четырехугольник снаружи окружности!


          Внесена предоплата за последующие занятия! Бронь на 2025/2026 учебный год!


           Кликни для просмотра...
          9+ шт.
          ССЫЛКА
          №1 №2 №3

          Предоплата ОГЭ 10Б
            ВТ 18.02.2025 Петя (А) 9-й класс
              5+ 4- пробелы
            №1 №2 №3

            [РЕЗУЛЬТАТ] ОГЭ 10 бал.

            Формулы: Ф1 Ф2 Ф3 Ф4 Ф5

            Записи: 1 2 3 4 5 6 7 ещё

            ДЗ: РАЗ ДВА ТРИ В конце теста скопировать ССЫЛКУ и прислать вместе с фотографиями решений в TeleGram минимум за час до занятия!
            Записывать в отдельную тетрадь задачи с ошибкой в понимании!


             Кликни для просмотра...
            9+ шт.
            ССЫЛКА
            №1 №2 №3

            Предоплата ОГЭ 15Б
              СБ 15.02.2025 Петя (А) 9-й класс
                5- 5- пробелы
              №1 №2 №3

              [РЕЗУЛЬТАТ] ОГЭ 15 бал.

              Справочные пособия: Ф1 Ф2 Ф3

              Записи: 1 2 3 4 5 6 7 ещё

              Домашнее задание: РАЗ ДВА ТРИ В конце теста скопировать ССЫЛКУ и прислать вместе с фотографиями решений в TeleGram минимум за час до занятия!


              Угол между хордой и касательной равен половине дуги!


               Кликни для просмотра...
              9+ шт.
              ССЫЛКА
              №1 №2 №3

              Предоплата ОГЭ 10Б
                СБ 28.09.2024 Петя (А) 9-й класс
                  5+ 5 графики: 6 из 6 БАЛЛОВ 100%
                №1 №2 №3

                [РЕЗУЛЬТАТ] ОГЭ 10 бал.

                Справочные пособия: Ф1 Ф2

                Картинки: 1 2 3 4 5 ...

                Домашнее задание: ТЕСТ В конце теста скопировать ССЫЛКУ и прислать вместе с фотографиями решений в TeleGram минимум за час до занятия!


                Симметрия отличается знаком перед k.


                 Кликни для просмотра...
                5 шт.
                ССЫЛКА
                №1 №2 №3

                Предоплата ОГЭ
                  ВТ 17.09.2024 Петя (А) 9-й класс
                    5- 4+ луч: 9 из 10 БАЛЛОВ 90%
                  №1 №2 №3

                  [РЕЗУЛЬТАТ] ОГЭ 7 бал.

                  Формулы: Ф1 Ф2 Ф3 Ф4 Ф5

                  Картинки: 1 2 3 4 5 ...

                  ДЗ: ТЕСТ В конце теста скопировать ССЫЛКУ и прислать вместе с фотографиями решений в TeleGram минимум за час до занятия!
                  Вспомнить свойства степени и корня!


                   Кликни для просмотра...
                  5 шт.
                  ССЫЛКА
                  №1 №2 №3

                  « 1 2

                  БЕСПЛАТНОЕ занятие получают...

                  По праздничным дням: 31 декабря, 23 февраля, 8 марта и 9 мая

                  Клиенты, пришедшие впервые на очное или дистанционное занятие

                  Победитель, по результатам рейтинга учеников за предыдущий месяц

                  Навигация

                  3-й, 4-й, 8-й кл.

                  ОТ ЕГОР (АЛЕКСАНДРА) '18
                  live:.cid.566aa8735cfb07cb