ЗАНЯТИЯ9-й классАлёна (Илона) '24 [38]

ВЕБИНАРЫ [41]ТРОЙКИ [24]ПАРЫ [279]ВПЛ [14]
Университет [20]Колледж [103]11-й класс [1245]10-й класс [923]
9-й класс [1065]8-й класс [755]7-й класс [387]6-й класс [298]
5-й класс [247]4-й класс [54]3-й класс [25]2-й класс [5]
1-й класс [0]
Лиза (Анна) '25 [72] Макс (Елена) '24 [32]
Тимур (Макка) '24 [5] Петя (Анна) '24 [19]
Афина (Наталья) '24 [17] Алёна (Илона) '24 [38]
Даня (Виктория) '23 [8] Макс (Виктория) '23 [28]
Костя (Ольга) '23 [12] Таисия (Руслан) '23 [6]
Даша (Мария) '22 [32] Егор (Александра) '22 [35]
Надя (Елена) '22 [34] Ника (Наталья) '22 [15]
Ерем (Репсиме) '22 [0] Серёжа (Мария) '22 [13]
Федя (Татьяна) '21 [0] Тёма (Анна) '21 [1]
Женя (Анна) '20 [3] Настя (Лариса) '20 [28]
Влада (Юлия) '20 [42] Саша (Лидия) '20 [47]
Паша (Светлана) '20 [33] Даня (Надежда) '20 [1]
Ваня (Мария) '19 [63] Северьян (Алла) '19 [41]
Маша (Инна) '19 [4] Даня (Динара) '19 [21]
Миша (Татьяна) '19 [12] Женя (Елена) '19 [18]
Настя (Елена) '19 [7] Полина (Наталья) '18 [10]
Амир (Макка) '18 [35] Арина (Наталья) '18 [13]
Вова (Анна) '18 [17] Рома (Елена) '18 [16]
Даня (Елена) '18 [20] Дана (Юлия) '18 [10]
Костя (Ирина) '18 [14] Настя (Валерия) '18 [5]
Женя (Наталья) '18 [3] Даня (Оксана) '17 [38]
Артур (Алла) '17 [18] Серафима (Лариса) '17 [4]
Лера (Олеся) '17 [11] Нелли (Вячеслав) '17 [36]
Иван (Денис) '24 [16] Глаша (Елена) '24 [2]
Лиза (Светлана) '25 [28] Тёма (Яна) '25 [82]

ГЕНЕРАТОР заданий Живая Тетрадь Расписание занятий Список тем для изучения Прямой эфир из класса Сборники заданий ЕГЭ/ОГЭ

Информация

Предоплата ЕГЭ 52Б
    ЧТ 24.04.2025 Алёна 9-й класс
      5- 5- планиметрия
    №1 №3

    ДЗ отправлено перед занятием!


    [РЕЗУЛЬТАТ] ЕГЭ 52 бал.

    Формулы: Ф1 Ф2 Ф3 Ф4 Ф5

    Записи: 1 2 3 4 5 6 ...

    ДЗ: ТЕСТ В конце теста скопировать ССЫЛКУ и прислать вместе с фотографиями решений в TeleGram минимум за час до занятия!
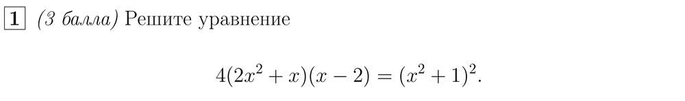
    Площадь треугольника через угол!


     Кликни для просмотра...
    6 шт.
    ССЫЛКА
    №1 №3

    Предоплата ЕГЭ 45Б
      ПН 21.04.2025 Алёна 9-й класс
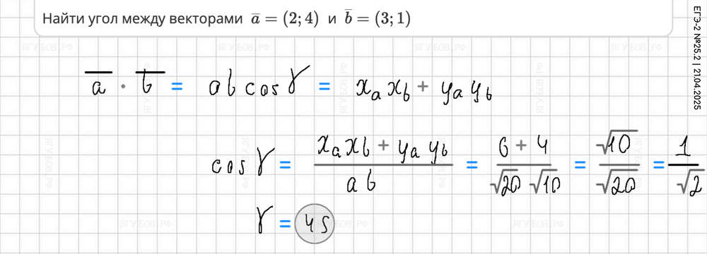
        5 5+ векторы: 9 из 10 БАЛЛОВ 90%
      №1 №2 №3

      ДЗ отправлено перед занятием!


      [РЕЗУЛЬТАТ] ЕГЭ 45 бал.

      Формулы: Ф1 Ф2 Ф3 Ф4

      Записи: 1 2 3 4 5 6 7 ещё

      Домашнее задание: РАЗ ДВА В конце теста скопировать ССЫЛКУ и прислать вместе с фотографиями решений в TeleGram минимум за час до занятия!


       Кликни для просмотра...
      9 шт.
      ССЫЛКА
      №1 №2 №3

      Предоплата ОГЭ 31Б
        СР 09.04.2025 Алёна (И) 9-й класс
          5+ 5+ вероятность
        №1 №2 №3

        [РЕЗУЛЬТАТ] ОГЭ 31 бал.

        Справочные пособия: Ф1

        Записи: 1 2 3 4 5 6 7 ещё

        ДЗ: РАЗ ДВА ТРИ В конце теста скопировать ССЫЛКУ и прислать вместе с фотографиями решений в TeleGram минимум за час до занятия!
        Хотя бы 10 заданий из каждой ссылки!


        Вероятность считаем для каждого объекта по очереди. Потом перемножаем и думаем на другими вариантами


         Кликни для просмотра...
        9+ шт.
        ССЫЛКА
        №1 №2 №3

        Предоплата ОГЭ 31Б
          ПН 24.03.2025 Алёна (И) 9-й класс
            5+ 5- смеси
          №1 №2 №3

          [РЕЗУЛЬТАТ] ОГЭ 31 бал.

          Справочные пособия: Ф1

          Записи: 1 2 3 4 5 6 7 ещё

          Домашнее задание: РАЗ ДВА В конце теста скопировать ССЫЛКУ и прислать вместе с фотографиями решений в TeleGram минимум за час до занятия!


           Кликни для просмотра...
          9+ шт.
          ССЫЛКА
          №1 №2 №3

          Предоплата ОГЭ 31Б
            ЧТ 20.03.2025 Алёна 90 минут
              5+ 4+ пределы
            №1 №2 №3

            Два занятие, за пропущенный понедельник!


            [РЕЗУЛЬТАТ] ОГЭ 31 бал.

            Справочные пособия: Ф1 Ф2

            Записи: 1 2 3 4 5 6 7 ещё

            Домашнее задание: РАЗ ДВА В конце теста скопировать ССЫЛКУ и прислать вместе с фотографиями решений в TeleGram минимум за час до занятия!


             Кликни для просмотра...
            9+ шт.
            ССЫЛКА
            №1 №2 №3

            Предоплата ОГЭ 31Б
              ЧТ 13.03.2025 Алёна 9-й класс
                5+ 4+ модуль
              №1 №2 №3

              Занятие перенесено на ЧТ


              [РЕЗУЛЬТАТ] ОГЭ 31 бал.

              Справочные пособия: Ф1 Ф2

              Картинки: 1 2 3 4 ...

              ДЗ: ТЕСТ В конце теста скопировать ССЫЛКУ и прислать вместе с фотографиями решений в TeleGram минимум за час до занятия!
              В ЧТ 20:00 - 21:30.


               Кликни для просмотра...
              4 шт.
              ССЫЛКА
              №1 №2 №3

              Предоплата ОГЭ 31Б
                ЧТ 06.03.2025 Алёна (И) 9-й класс
                  5+ 4+ 9проф
                №1 №2

                [РЕЗУЛЬТАТ] ОГЭ 31 бал.

                Справочные пособия: Ф1

                Записи: 1 2 3 4 5 6 7 ещё

                Домашнее задание: РАЗ ДВА В конце теста скопировать ССЫЛКУ и прислать вместе с фотографиями решений в TeleGram минимум за час до занятия!


                Доделаем 2 4 5 задачи!


                 Кликни для просмотра...
                9+ шт.
                ССЫЛКА
                №1 №2

                Предоплата ОГЭ 31Б
                  ПН 03.03.2025 Алёна (И) 9-й класс
                    5+ 4+ 10-база
                  №1 №2 №3

                  [РЕЗУЛЬТАТ] ОГЭ 31 бал.

                  Справочные пособия: Ф1 Ф2 Ф3

                  Записи: 1 2 3 4 5 6 7 ещё

                  ДЗ: РАЗ ДВА ТРИ В конце теста скопировать ССЫЛКУ и прислать вместе с фотографиями решений в TeleGram минимум за час до занятия!
                  ЧТ 20:00


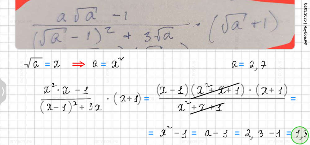
                  Корень и квадрат дают в результате сокращения модуль! Корень >=0


                   Кликни для просмотра...
                  9+ шт.
                  ССЫЛКА
                  №1 №2 №3

                  Предоплата ОГЭ 31Б
                    ПН 24.02.2025 Алёна (И) 9-й класс
                      5+ 5 варианты
                    №1 №2 №3

                    [РЕЗУЛЬТАТ] ОГЭ 31 бал.

                    Формулы: Ф1 Ф2 Ф3 Ф4 Ф5

                    Записи: 1 2 3 4 5 6 ...

                    Домашнее задание: РАЗ ДВА ТРИ В конце теста скопировать ССЫЛКУ и прислать вместе с фотографиями решений в TeleGram минимум за час до занятия!


                     Кликни для просмотра...
                    6 шт.
                    ССЫЛКА
                    №1 №2 №3

                    Предоплата ОГЭ 31Б
                      ПН 17.02.2025 Алёна (И) 9-й класс
                        5- 5+ осаго/терасса
                      №1 №2 №3

                      [РЕЗУЛЬТАТ] ОГЭ 31 бал.

                      Справочные пособия: Ф1 Ф2

                      Записи: 1 2 3 4 5 6 7 ещё

                      ДЗ: РАЗ ДВА ТРИ В конце теста скопировать ССЫЛКУ и прислать вместе с фотографиями решений в TeleGram минимум за час до занятия!
                      В осаго могут быть ошибки!


                      Урожай собирают два раза в год и нужно сажать самый плодородный!


                       Кликни для просмотра...
                      9+ шт.
                      ССЫЛКА
                      №1 №2 №3

                      « 1 2 3 4 »

                      БЕСПЛАТНОЕ занятие получают...

                      По праздничным дням: 31 декабря, 23 февраля, 8 марта и 9 мая

                      Клиенты, пришедшие впервые на очное или дистанционное занятие

                      Победитель, по результатам рейтинга учеников за предыдущий месяц

                      Навигация

                      ОТ Надя (Е) '24

                      Глаша (Е)'24

                      live:.cid.a1e8aee0c0d9d3dc